Recent Posts
Summer Projects: An Evaluation of Two Global Climate Datasets
This post is part of a series highlighting the summer projects from our office’s undergraduate research assistants. The author, Kieran Riban, is a junior majoring...
Summer Projects: Connecting Drought Indices to On-the-Ground Observations
This post is part of a series highlighting the summer projects from our office’s undergraduate research assistants. This part of the series is by Karl...
Summer Projects: Global Effects on North Carolina’s Precipitation
This post is part of a series highlighting the summer projects from our office’s student research assistants. The author, Lexia Williams, is a current junior...
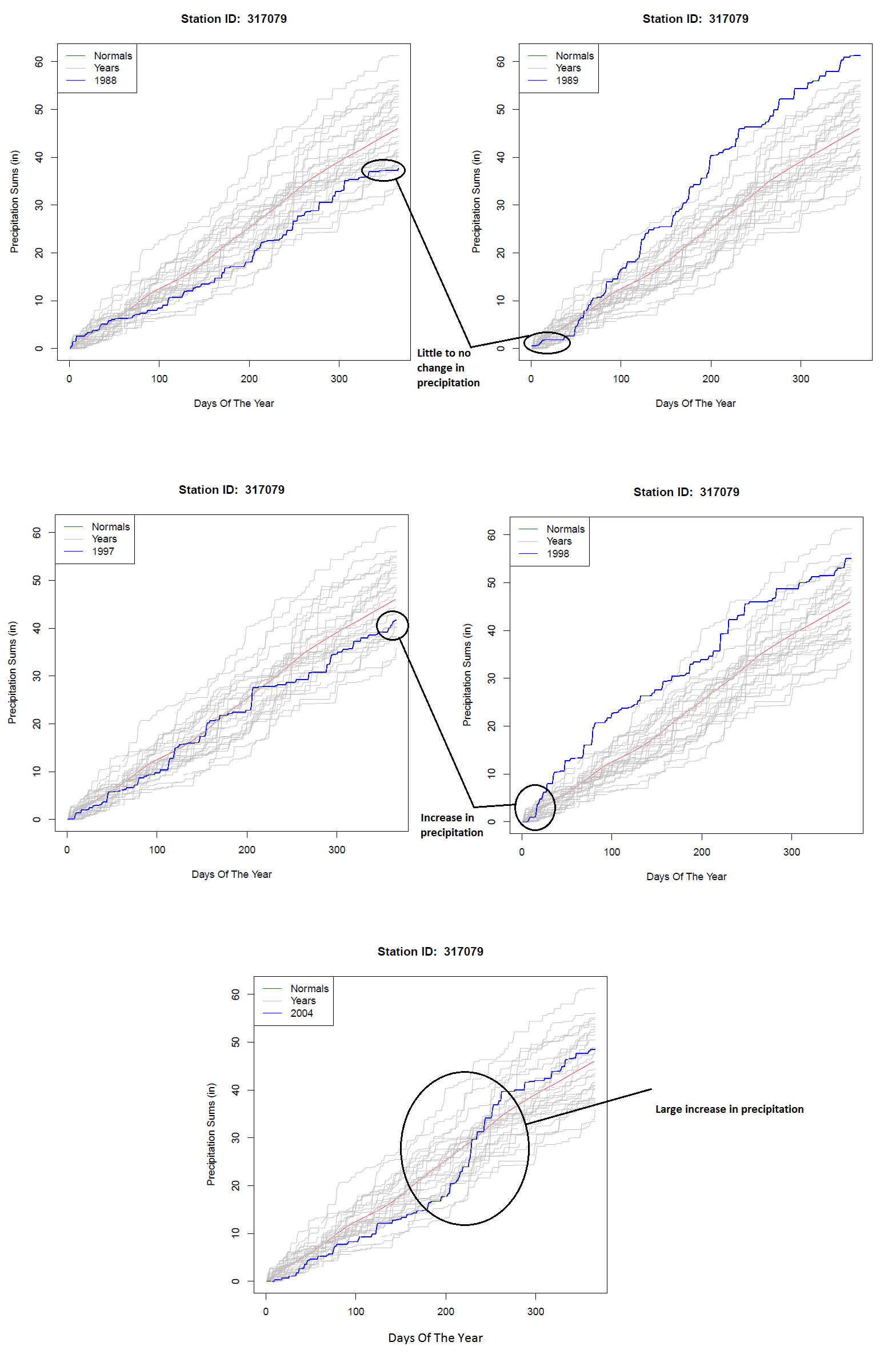
Summer Projects: Piecing Together a Weather Data Puzzle
This post is part of a series highlighting the summer projects from our office’s student research assistants. The author, Kelley DePolt, is a rising sophomore...
Summer Projects: Evaluating a New Drought Dataset for NC
This post is part of a series highlighting the summer projects from our office’s student research assistants. The author, Brandon Black, is a rising junior...
Summer Projects: Verifying Winter Precipitation Type Forecasts
This post is part of a series highlighting the summer projects from our office’s undergraduate research assistants. This post is by Samuel Roback, who is...
Summer Projects: Finding the Best Historical Dataset For Ecological Modeling
This post is part of a series highlighting the summer projects from our office’s undergraduate research assistants. This post is by Michael Brackett, a senior...